光电探测器基础
PN结
需要满足两个假设:
- 玻尔兹曼分布,每一个半导体区域都是非简并半导体;
- 完全电离,忽略温度对PN结的影响
PN结的基本结构
P型半导体:主要载流子是空穴(通过掺入受主杂质,如硼)
N型半导体:主要载流子是电子(通过掺入施主杂质,如磷)
PN结是由P型半导体和N型半导体紧密结合而形成的半导体结,分隔p区和n区的交界面为冶金结

耗尽层
在结区附近,由于电子和空穴相互扩散并复合,N区留下正电荷,P区留下负电荷,形成一个几乎没有自由载流子的“耗尽层”
假设均匀掺杂并且空间电荷区在边缘处快速截断

在空间电荷区的电荷密度则可以表示为:
$$
\begin{aligned}&\rho (x)=-eN_a,\quad -x_p<x<0\
&\rho (x)=eN_d,\quad 0<x<x_n
\end{aligned}
$$
根据电荷守恒需要满足 $N_ax_p = N_dx_n$
空间电荷区宽度$W=x_p+x_n$,结合泊松方程可以得到结果:
$$
W=[\frac{2\varepsilon_sV_{bi}}{e}[ \frac{N_a+N_d}{N_aN_d} ]]^{1/2}
$$
内建电势
假设PN结两端没有外加电场,那么整个半导体系统的费米能级应该处处相同,但是p区和n区内导带和价带的位置随着费米能级的变化而变化,所以空间电荷区内的导带和价带会发生弯曲

n区的电子在进入p区的过程中会遇到一个势垒,阻碍电子继续扩散,扩散与漂移达到平衡后留下的电势差称为内建电势差,记为$V_{bi}$
$$
V_{bi} = |\phi_{Fp}|+|\phi_{Fn}|
$$
n区电子浓度可以表示为:
$$
n_0 = N_c\exp[\frac{-(E_c-E_F)}{kT}] = n_i\exp[\frac{E_F-E_{Fi}}{kT}]
$$
在完全电离的情况下平衡电子浓度(多数载流子浓度)几乎等于施主浓度 $n_0=N_d$
解得
$$
E_F-E_{Fi}= {kT}\ln \frac{N_d}{n_i}
$$
同理
$$
E_{Fi}-E_F={kT}\ln\frac{N_a}{n_i}
$$
$\Delta E = eV$,所以PN的内建电势差大小为
$$
V_{bi}=\frac{kT}{e}\ln(\frac{N_aN_d}{n_i^2})
$$
外加电势
在已有的内建电势基础上,如果在PN结两端增加一个电压值会导致不同的行为

如果将正极与n区连接(反偏),那么外加电场与内建电场的方向相同,这导致扩散运动更加受限,因此PN结内几乎没有电荷的流动,耗尽层的厚度增大
如果将正极与p区连接(正偏),那么外加电场与内建电场的方向相反,减弱了内建电场的阻碍作用,使得扩散运动加剧,因此有电荷流动的区域更多了,耗尽层的厚度减小
电流
漂移电流 | 扩散电流 | |
---|---|---|
成因(驱动力) | 外电场或内建电场 | 浓度梯度 |
物理本质 | 受力定向移动 | 随机运动的统计结果 |
方向 | 电子p→n | 电子n→p |
典型场景 | 反向偏压下的二极管电流 | 正向偏压下的二极管电流 |
与欧姆定律关系 | 遵循欧姆定律 | 不遵循欧姆定律 |
漂移电流(与外加电场关系密切):
$$
J_{drift}=en\mu_nE+ep\mu_pE
$$
其中$\mu_n,\mu_p$为电子/空穴的迁移率
扩散电流(与PN结属性相关):(电子带负电正,负号抵消,空穴需要带负号)
$$
J_{diff}=eD_n\frac{dn}{dx}-eD_p\frac{dp}{dx}
$$
其中$D_n,D_p$为电子/空穴的扩散系数,$\frac{dn}{dx}/\frac{dp}{dx}$代表浓度梯度
正向偏置下:外加的正向电压会削弱内建电场,这使得多数载流子的扩散变得更加容易,扩散电流急剧增加,并成为总电流的主要部分;漂移电流基本保持不变(因为它取决于少数载流子的数量),此时PN结的电流主要是扩散电流
反向偏置:外加的反向电压会增强内建电场,这极大地阻碍了多数载流子的扩散,使得扩散电流变得微不足道,电流主要由少数载流子在增强的电场下的漂移运动构成。此时PN结的电流主要是漂移电流,但这个电流非常小,也被称为反向饱和电流$I_0$
光电二极管
光电二极管原理
光电二极管是一种特殊设计的PN结,其核心功能是利用PN结的光电效应将光信号转换为电信号
为了有效地接收入射光线,光电二极管将其PN结的表面积设计得相对较大,电极则相对较小,此外,PN结的深度非常浅,通常小于1微米
当光电二极管暴露在光线下且光子能量 $h\nu>E_g$ 时,PN结中的价带电子会被激发到导带,产生 电子–空穴对
如果电子–空穴对出现在耗尽层或靠近耗尽层的区域,就会被内建电场(或外加反向偏置电场)迅速分离,电子拉向n区,空穴拉向p区,这些分离的载流子流向外电路,就形成了光电流$I_{ph}$

一般情况下,光电流与入射光强成正比:
$$
I_{ph} = e\eta\frac{P_{opt}}{h\nu}
$$
$\eta $: 量子效率(有效分离的电子–空穴对与吸收光子数之比)
$P_{opt}$: 入射光功率
光电流的方向与二极管正向电流相反,所以二极管方程修改为:
$$
I = I_0(e^{qV/kT}-1)-I_{ph}
$$
绝大多数情况下光电二极管工作在反向偏置状态下,这是因为反偏电压增大可以使耗尽区变宽,载流子能在耗尽区内被电场迅速抽取,减少复合、提高量子效率,此时光电流更大,响应更灵敏
$$
I_{out} = I_{dark}+I_{ph}
$$
缺点:反偏电压增大也会导致暗电流增大,噪声增多
PIN光电二极管
PIN光电二极管是一种结构较传统PN光电二极管有所改进的光电探测器
为了克服PN结的局限,PIN二极管在PN结之间增加了一个几乎未掺杂的本征层(I层)
主要优势在于响应速度快、灵敏度高和暗电流低
- 响应速度快:I层没有掺杂,电场分布比较均匀,能迅速将光生电子–空穴对加速漂移到电极
- 灵敏度高:I层加宽了耗尽区,光子有更大几率在耗尽层内被吸收,提高了量子效率
- 暗电流低:I层杂质和缺陷少,热激发产生的载流子少
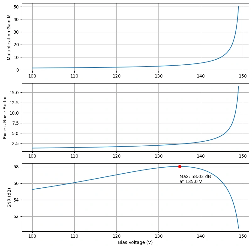
APD雪崩光电二极管
PIN光电二极管已经解决了PN结的问题(耗尽层窄、响应慢),具备高速和高量子效率,但PIN没有“内部增益”,产生的光电流直接取决于光功率
在弱光检测(比如远距离光纤通信)中,信号电流可能非常微弱,需要额外的电子放大器,噪声就会成为限制
APD在PIN的基础上,在结区加很强的反向偏置电压(几十伏到几百伏)
光子进入耗尽层,产生电子-空穴对,在强电场作用下,电子和空穴被加速,动能大到足以在碰撞中再电离硅原子,产生新的电子-空穴对。新产生的载流子又被加速,继续产生二次电离。这个过程像“雪崩”一样连锁放大,因此称为雪崩倍增效应
优点:
- 更高灵敏度:由于有内部雪崩增益,能探测更微弱的光信号
- 信噪比提升:在前端直接放大光信号,减轻后级电路负担
缺点:
- 响应速度下降:倍增过程需要时间,APD带宽一般比PIN低一些
- 倍增噪声:高电场下热激发载流子也会被倍增 → 噪声上升
对比PIN和APD:
特性 | PIN 光电二极管 | APD 雪崩光电二极管 |
---|---|---|
内部增益 | 无 | 有(10~1000倍) |
工作偏压 | 低(几伏) | 高(几十~几百伏) |
灵敏度 | 中等 | 高 |
响应速度 | 高速 | 稍低于PIN(雪崩倍增需时间) |
噪声 | 低 | 较高(倍增过程有噪声) |
应用 | 一般光检测、光通信 | 长距离光纤通信,高灵敏度探测,激光雷达 |
光电二极管的性能指标
光电转换特性
响应度$R$:在特定波长的入射光照射下,光电二极管产生的光电流与入射光功率之比,单位A/W
$$
R = \frac{I_{ph}}{P} [A/W]
$$
衡量光电二极管对光敏感的核心指标,表示光电转换的宏观效率,随波长变化,通常会有一个峰值响应波长
量子效率$\eta$:产生的光电子-空穴对数量与入射的光子数量之比,无单位
表示光电转换的微观效率,越高表明器件内部的光电转换机制越有效,取决于波长和材料,典型硅光电二极管的$\eta \sim 70%- 90%$
是最典型的计算指标,它可以从响应度$R$和波长(λ)计算得出
$$
\eta = \frac{R\cdot h c}{e\lambda}\approx \frac{1240\cdot R}{\lambda} \times 100%
$$
1240的推导:
$h$:普朗克常数 ($6.62607015 × 10^{-34} J\cdot s$)
$e$:元电荷 ($1.6\times 10^{-19}C$)
$\lambda$:以nm为单位,所以上下项均$\times 10^9$
$$
\frac{hc}{e} \times 10^9= \frac{6.62607015\cdot10^{-34}\times 3\cdot10^{8}}{1.6\cdot10^{-19}}\times 10^9 \approx 1240
$$
超过材料带隙后($\lambda > \lambda_c$(截止波长),$\eta \rightarrow 0$),响应度急剧下降
$$
\lambda _c = \frac{hc}{E_g}
$$
因为$E_g$的单位为eV,所以计算截止波长可以直接$1240/Eg$
材料 | 带隙Eg(eV) | 截止波长(nm) | 常见应用 |
---|---|---|---|
Si | 1.12 | 1100 | 可见光/近红外 |
InGaAs | 0.75 | 1650 | 通信波段 |
Ge | 0.67 | 1850 | 红外探测 |
光谱响应范围:光电二极管能够有效探测的光波长范围,通常定义为响应度下降到峰值一半时所对应的波长范围,决定了该二极管适用于哪个波段的应用
噪声特性
暗电流$I_d$:在无光照时,给光电二极管施加反向偏压时流过的电流,主要由热激发或缺陷引起
是光电二极管主要的内部噪声源,暗电流越小,探测微弱信号的能力越强
它对温度非常敏感,温度每升高10°C,暗电流大约增加一倍
噪声等效功率$NEP$:单位带宽下,当输出信号的信噪比SNR为1时,所需入射到探测器上的光功率
$$
NEP =\frac{I_{noise}/\sqrt {\Delta f}}{R}[W/\sqrt{Hz}]
$$
单位中的$\sqrt{Hz}$是因为噪声与测量带宽的平方根成正比
$NEP$值越小,说明探测器探测微弱光信号的能力越强,性能越好
噪声电流的来源主要有以下三类:
散粒噪声(Shot noise):来自光生载流子的量子统计特性,是基本的量子噪声
$$
i^2_{shot} = 2q(I_{ph}+I_{dark})\Delta f
$$
热噪声(Johnson noise或Thermal noise):来源于探测器和负载电阻$R_L$
$$
i_{th}^2 = \frac{4kT}{R_L}\Delta f
$$
1/f噪声:这种噪声在低频时非常显著,其功率谱密度与频率成反比
总噪声电流(均方根值):(主要考虑散粒噪声和热噪声)
$$
I_{noise} = \sqrt{i_{shot}^2 +i_{th}^2 }
$$
$$
NEP=\frac{\sqrt{2q(I_{ph}+I_d)\Delta f+\frac{4kT}{R_{L}}\Delta f}}{R}
$$
在低光功率下,探测器噪声主要由热噪声决定,随着光电流增大,散粒噪声成为主导
暗电流噪声在低温下可忽略,但在红外探测器中不可忽视
参数:$R_L=1k\Omega,T=300K,I_{dark}=1nA,\Delta f=1MHz$

探测率$D^$:消除探测器面积对$NEP$的影响,便于比较不同尺寸探测器的性能而引入的归一化指标
$$
D^ = \frac{\sqrt{A}}{NEP}[cm\cdot \sqrt {Hz}/W]
$$
$A$是探测器的有效感光面积,$D^*$越大,探测弱信号的能力越强
响应速度特性
光电探测器接收到光信号时,产生光生电流,但由于结电容与负载电阻,输出电压不是瞬时变化的,而是一个RC滤波后的结果
电路模型:光电二极管 = 理想电流源 + 并联结电容 $C_j$ + 负载电阻 $R_L$
在频域中,系统相当于一个一阶低通滤波器
$$
H(f)=\frac{1}{\sqrt{1+(2\pi fR_LC_j)^2}}
$$
结电容$C_j$:光电二极管PN结的电容,与外接负载电阻共同决定了电路的RC时间常数,从而影响响应速度,结电容越小,响应速度越快
在反向偏置应用中,结的耗尽宽度增加,从而有效地降低结电容并提高响应速度
带宽(BW)$\Delta f$:指探测器的响应度下降到其最大值的$\sqrt 2$(约70.7%,即-3dB)时的调制频率
$$
\Delta f=\frac{1}{2\pi R_{L}C_{j}}
$$
小电容+小负载电阻→更高带宽
带宽越大,探测器能够处理的信号频率就越高,适合高速光通信、激光雷达等应用
响应时间$\tau_r /\tau_f$:从光信号到电信号的延迟,指器件对光强变化的响应速度,与结电容、外部负载阻抗$R_L$密切相关
带宽和上升时间之间有一个近似的换算关系,如果手册只给了其中一个,另一个可以通过计算估算
$$
\tau_r \approx \frac{0.35}{\Delta f} \qquad \Delta f\approx \frac{0.35}{\tau_r}
$$
实际参数参考:
参数 | 符号 | 典型值 |
---|---|---|
负载电阻 | $R_L$ | $1k\Omega$ |
结电容 | $C_j$ | $10pF$ |
光电流幅值 | $I_{ph}$ | $10\mu A$ |
带宽 | $\Delta f$ | $\approx 15.9 MHz$ |
信噪比SNR
表达式:
$$
SNR = \frac{I_{ph}}{I_{noise}}
$$
弱光区域($RP_{opt}\ll I_{dark}$),噪声主要由暗流决定:
$$
{SNR}\approx\frac{RP}{\sqrt{2qI_{dark}\Delta f}}\propto P
$$
强光区域($RP_{opt}\gg I_{dark}$),噪声主要来自光生电流自身的散粒噪声:
$$
{SNR}\approx\frac{RP}{\sqrt{2qRP\Delta f}}=\sqrt{\frac{RP}{2q\Delta f}}\propto \sqrt P
$$
带宽增大,SNR同步降低
温度降低,噪声减少,SNR提高
- 弱光时,加大光功率能显著提升SNR
- 光功率越来越强后,SNR仍然增加,但增速减缓
总结表格
性能指标 | 单位 | 值越..越好 | 简单描述 |
---|---|---|---|
响应度 | $A/W$ | ↑ | 光电转换的宏观效率 |
量子效率 | 无 | ↑ | 光电转换的微观效率 |
暗电流 | $A$ | ↓ | 无光时的噪声 |
带宽 | $Hz$ | ↑ | 能处理的信号最高频率范围 |
噪声等效功率 | $W/\sqrt{Hz}$ | ↓ | 能探测到信号的最小光功率 |
比探测率 | $cm\cdot \sqrt {Hz}/W$ | ↑ | 标准化的探测能力 |
材料 | 光谱范围 | 暗电流 | 速度 | 成本 | 特点与适用场景 |
---|---|---|---|---|---|
硅 | 可见到近红外(350~1100nm) | 低(pA) | 高速(小面积ps,常规ns) | 低 | 成熟工艺,线性好,通用型 |
黑硅 | 可见到近红外(400~1200+nm) | 低到中等(pA-nA) | 中高速(ns) | 中等 | 具有更高的量子效率,适用于低光照 |
锗Ge | 近红外(800~1800nm) | 高(~2–200 mA/cm²) | 低速(ns-$\mu s$) | 低 | 光纤通信,需低温操作 |
砷化铟镓InGaAs | 近红外(900~1700nm) | 低(pA-nA) | 高速(ps) | 中等 | 光纤通信主力,LIDAR |
扩展型砷化铟镓 InGaAs | 近红外(1000~2600 nm) | 高($\mu A$) | 高速 | 高 | 光谱分析,需要热电制冷 |
砷化锑化铟InAsSb | 近红外至中红外 | 高($\mu A$-mA) | 中低速 | 高 | 高温工作能力,适合 MWIR应用(气体探测、光谱、热成像等) |
碲化镉汞MCT(HgCdTe) | 近红外至中/远红外 | 高(温度依赖强) | 中等到低速 | 非常高 | 最顶级的红外探测,通常需要制冷与复杂封装/校准 |
性能计算
常见手册参数包括:受光面积、响应度(典型值)、光谱响应范围、暗电流(最大值)、结电容
以滨松光子的S1226-5BK硅光电二极管为例
参数表如下:
参数名称 | 数据 |
---|---|
受光面 | $2.4 \times 2.4 mm$ |
光谱响应范围 | $320\sim 1000nm$ |
最大灵敏度波长 | $720nm$ |
响应度(典型值) | $0.36A/W$ |
暗电流(最大值) | $5pA$ |
上升时间(典型值) | $0.5 \mu s$ |
结电容(典型值) | 160pF |
噪声等效功率(典型值) | $2.5\times10^{-15} W/Hz^{1/2}$ |
有效接收面$A = 2.4^2 = 5.76mm^2=0.0576cm^2$
量子效率:(720nm处)
$$
\eta = \frac{1240R}{\lambda}=1240\times 0.36/720 = 62%
$$
计算比探测率
$$
D^* = \frac{\sqrt{A}}{NEP_{spec}} \approx 9.6\times 10^{13}cm\cdot \sqrt {Hz}/W
$$
1 | import numpy as np |
硅vs石墨烯
特性 | 硅 (Silicon) | 石墨烯 (Graphene) |
---|---|---|
响应速度 | ns~ps | ps~fs |
波长范围 | 350nm~1100nm(可见-近红外) | 极宽(UV–可见–IR–THz)(紫外-中红外) |
量子效率 | 高(可达80–95%) | 单层低(~2–3%),需要光学谐振腔/波导耦合 |
暗电流 | 极低(pA–nA) | 较高(μA–mA),噪声大 |
工艺成熟度 | 极其成熟,成本低 | 工艺尚不成熟,一致性差 |
主要应用 | 消费电子、太阳能电池、传统光通信 | 高速光通信、宽带光谱探测、前沿科学研究 |
CCD与CMOS
CCD
CCD全称是Charge Coupled Device(电荷耦合器件),是一种将光信号转换为电信号的半导体成像器件
工作可以分为四个主要过程:
光电转换:光照射到CCD表面后,光敏区内的硅吸收光子,激发出电子-空穴对,电子会被电场吸入势阱中,空穴则被排走,每个像素对应一个光敏单元
电荷积累(积分):在曝光时间内,电子被困在各自像素的势阱中,曝光结束后,每个像素中储存的电荷量代表了该像素的亮度
电荷转移(耦合):通过改变栅极电压,电子从一个势阱被推送到下一个势阱,所有像素的电荷依次沿列传输,再沿行移动,最后汇聚到输出放大器
逐像素移送保证了极高的一致性和低噪声,但代价是读出速度受限
信号读出与放大:每个像素的电荷在输出端放大并转换为电压信号,再经过模数转换器(ADC)变成数字信号输出,最终形成图像数据

根据电荷传输方式的不同,CCD可分为几种:
全帧转移(Full-Frame CCD):整个阵列都是光敏区,需要机械快门控制曝光
转移期间如果没有机械快门来阻挡入射光,会继续产生电子,导致拖影,损坏图像
优点:感光效率高,噪声最低,结构简单;
缺点:读出速度较慢,不能用于视频或快速拍摄
帧转移(Frame-Transfer CCD):传感器分为两个相等的部分:有源成像阵列和遮光存储阵列,曝光后整帧电荷被快速转移到存储区
在读取存储区域时,光敏区可以立即开始集成下一帧,从而实现比全帧CCD更高的帧速率
优点:无需机械快门,避免拖影,曝光和读出实现并行;
缺点:存储区占据芯片面积,感光面积减少,成本与功耗高
交错转移(Interline CCD):每列像素旁有独立存储区,曝光结束后,电子迅速转移到相邻的存储区。存储区被遮光,因此可在下一次曝光时同时读出上一帧
这种方式可以实现电子快门,无需机械部件
优点:快速曝光控制,无拖影,读出速度快,支持视频帧率;
缺点:光敏区被存储区挤占,填充因子降低(感光面积减少),需要微透镜引导光线集中到感光区
微透镜的作用:当光线射入时,微透镜会把原本可能落在“非感光区”的光线重新聚焦到有效感光部分,有效光捕获率可以从 30–40% 提升到接近 90%
制作方式包括光刻+热重流,让光刻胶在加热下自然形成半球形,现代技术中也会用离子束刻蚀或纳米压印方法形成更精确的形状;透镜材质需具备高透光率、低吸收率,并能耐高温工艺
可以分为线阵CCD和面阵CCD
线状CCD一般只有一排或几排像素,用于颜色分离,不能一次获取整个画面,而是通过移动被拍对象(或移动CCD本身)逐行扫描图像,分辨率高但需要机械扫描系统
面状CCD拥有二维像素阵列,可以一次性采集整幅图像,无需移动。快门打开时,整个二维像素阵列同时曝光,然后电荷被逐行读出,一次曝光即可获取完整图像,但读出速度相对较慢(现代CMOS已改善)
在光谱CCD中,想要的是光的能量分布,也就是不同波长的强度,就意味着它需要一个维度记录波长
在典型的光谱仪中,光线从狭缝(slit)进入,经过光栅或棱镜被色散开,按照波长展开成一条光谱

CCD上看到的不是整幅图像,而是一条光谱带,横轴是波长,纵轴(对应狭缝高度)几乎是恒定的,只包含那个点的少量空间信息
CMOS
与CCD一样,目标都是把光子变成电子信号
工作原理:
光电转换:光线经顶部微透镜和滤色片聚焦到光电二极管(与CCD类似),生成电子,电子被收集在电荷阱中,电荷数量与光强度成正比
电荷积累:电子在电荷阱中累积一段曝光时间
信号读出:与CCD最大的不同,每个像素不仅有光敏区,还有读出电路
像素电路通常由3~5个晶体管组成,称为3T/4T像素结构
电荷被转化为电压信号,由像素内部的放大晶体管放大
行列扫描电路按顺序选则每行像素,逐列读出,每个像素信号都在片上完成放大与数字化
信号处理:芯片上可以直接集成图像信号处理(ISP)模块,执行曝光控制、去噪、白平衡、Gamma校正等操作
常见像素电路的结构有两种:
3T像素:复位晶体管、放大晶体管、选择晶体管
结构简单,但噪声较大,灵敏度略低
4T像素:在3T基础上增加一个转移门,可将电荷从光电二极管转移到独立的浮动扩散区,这让其能实现电子快门,并且支持低噪声读取(CDS)
现代高端 CMOS 图像传感器几乎都采用4T架构
正照式CMOS(FSI)
早期结构,如刚刚所述,光线要穿过:微透镜;彩色滤光片;经过金属布线层(信号与供电线路);抵达光电二极管
问题在于金属布线遮光严重
背照式CMOS(BSI)
- 先在硅片正面完成所有电路制造(包括晶体管、金属布线等);
- 将晶圆与支撑基片粘合(防止在加工时破裂);
- 从背面化学机械抛光(CMP)或刻蚀,薄化硅基底,厚度降至几微米;
- 在背面重新沉积抗反射层、微透镜和彩色滤光片
光线从背面直接照入硅基底,先抵达光电二极管,再往下是电路层
光线不再被金属层遮挡,使得光子利用率提升50%以上

堆栈式CMOS(Stacked)
堆叠式传感器将图像传感器和信号处理电路分离成两层晶圆
上层:像素阵列——负责感光;
下层:逻辑电路——负责信号放大、模数转换、缓存等;
两层通过TSV(Through-Silicon Via, 硅通孔)实现垂直连接
使用堆栈式技术,人们研究出了一种新的拜耳排列RGBW
其中,RGB对应常见的红绿蓝,W对应白,对亮度感光,这样传感器的低光感光能力就大大提升
制造 BSI 和 Stacked 传感器的工艺非常苛刻:
- 硅片要薄到几微米,任何应力不均都会导致晶圆翘曲或裂纹;
- TSV 互连要求纳米级精度,否则信号延迟和噪声都会显著上升;
- 微透镜、滤光片、背照层的排列需与光路完全匹配,否则边缘像素会产生角度光偏差
对比
对比项 | CCD | CMOS |
---|---|---|
读出方式 | 电荷逐级转移(串行) | 各像素独立读出(并行) |
放大位置 | 芯片边缘的单一放大器 | 每个像素内置放大器 |
功耗 | 高 | 低 |
速度 | 慢 | 快 |
噪声 | 低(因为共享放大器) | 略高(因每像素独立放大) |
成本 | 高 | 低,可大规模集成 |
集成度 | 仅感光部分 | 可集成ADC、ISP、控制电路 |
主要噪声来源 | 光子噪声、暗电流噪声 | 读出噪声、光子噪声 暗电流噪声、FPN(固定模式噪声) |
优点 | 极高的图像质量和线性响应 噪声低,暗电流小 像素一致性好,适合科学级成像 |
低功耗、高速度 支持片上集成(SoC化),成本低 可电子快门、高速连拍 更适合移动设备 |
缺点 | 电荷逐级传输导致读出速度受限 功耗高、成本高 电源与驱动时序要求严格 |
电路复杂,制造良率要求高 噪声影响大 |
噪声模型
光子(散粒)噪声
光是量子化的,光子抵达感光区的数量是随机的,遵循泊松分布
即使光强恒定,单位时间内入射光子的数量也有统计波动
若平均光子数为$N_p$,则光子数的标准差为$\sigma_{ph}=\sqrt{N_p}$
信噪比SNR为
$$
SNR_{ph} = \frac{N_p}{\sqrt{N_p}} = \sqrt{N_p}
$$
光子噪声是信号相关噪声:信号越强,绝对噪声增大,但信噪比(信号质量)反而越好
在高亮度时,光子噪声是主要限制因素
无法通过电路消除,只能通过增加光通量或曝光时间提升SNR,长时间曝光或多张照片堆栈可以得到更纯净图像的根本原因
图像表现:亮部平滑,暗部颗粒明显
暗电流噪声
当没有光照时,热激发会在光电二极管中产生电子,暗电流随温度强烈变化,近似指数规律:
$$
I_{dark} \propto T^3 e^{-\frac{E_g}{kT}}
$$
注意:这里$I_{dark}$是指单位时间产生电子数量
暗电流的产生也是一个随机过程,类似于光子到达,同样遵循泊松分布
每单位时间积累的暗电荷数量$N_d=I_{dark}\cdot \Delta t$,与温度和曝光时间密切相关
$$
\sigma_{dark} = \sqrt{N_d} = \sqrt{I_{dark}\cdot \Delta t}
$$
主要影响长曝光、高温条件下的成像,表现为热噪点或背景发光
可通过冷却或像素级暗场校正减弱
读出噪声
读出噪声来自电子信号转换链:光电二极管电荷 → 像素放大器 → 模拟缓冲 → ADC
每次读出图像,都会叠加一层固定的读出噪声,它是传感器的“底噪”
主要包含以下几种噪声机制:
- 热噪声:电阻产生的随机电压
- 1/f噪声:低频漂移噪声
- 采样保持噪声(kTC noise):电容复位时产生的随机电荷
数学模型(简化)
$$
\sigma_{read}^2 = \sigma_{amp}^2 + \sigma_{kTC}^2 + \sigma_{ADC}^2
$$
其中每一项都近似高斯分布(Gaussian),因此读出噪声总体服从正态分布
在图像的极暗区域或阴影部分表现为随机的、细密的“盐粒状”噪点(椒盐噪声)
主要影响极弱光、短曝光或高ISO(高增益)的情况
降噪手段包括:
- 双采样去除kTC噪声(在像素复位后和曝光后各读一次,两次相减)
- 避免过高的数字增益(ISO)
- 多帧平均
固定模式噪声
FPN是空间不均匀性噪声:不同像素的响应、偏置电压、放大器增益略有差异
不是随机的,而是固定的结构性误差,在暗场或均匀照明下仍存在
分为两类:
- Offset FPN(偏置型):零照度时的输出偏差
- Gain FPN(增益型):对亮度响应不同
对于第 $i$ 个像素
$$
S_i=g_i\cdot N_p+o_i
$$
其中
- $g_i$:增益误差
- $o_i$:偏置误差
整个图像的噪声方差可表示为:
$$
\sigma_{F P N}^{2}=\sigma_{g}^{2} N_{p}^{2}+\sigma_{o}^{2}
$$
偏置误差主导暗场噪声,而增益误差主导亮场噪声
暗图中表现为“条纹”或“亮点”;均匀照明下表现为亮度不一致
校正方式:暗场帧减法、平场校正、像素偏差映射
总噪声
$$
\sigma_{total}^2 = \sigma_{ph}^2 + \sigma_{dark}^2 + \sigma_{read}^2 + \sigma_{FPN}^2\
\text{SNR} = \frac{N_p}{\sqrt{\sigma_{total}^2}}
$$
噪声类型 | 主导条件 | 图像表现 | 改善策略 |
---|---|---|---|
光子噪声 | 光照充足 | 亮区随机颗粒感 | 增加总进光量(长曝光、大光圈) |
暗电流噪声 | 长曝光、高温 | 暗区随机噪点、热像素 | 降温、拍暗场校准 |
读出噪声 | 极弱光、短曝光 | 极暗区/阴影区细密噪点 | 降低增益(降低ISO),多帧平均 |
FPN | 所有情况都存在 | 固定条纹、”脏屏”感 | 硬件片上校正、拍平场/暗场校准 |
代码语言:
光子噪声体现为给光场施加泊松分布;
暗电流噪声体现为光场叠加一个泊松分布矩阵;
读出噪声体现为光场叠加一个高斯分布矩阵;
固定模式噪声体现为光场读出前叠加增益误差矩阵;
参数设计:
在低光成像(例如夜视、显微、星光成像)下:
光子数 ≈ 10–200e⁻
暗电流 ≈ 10–100e⁻/s
曝光时间 ≈ 10–50ms
读出噪声 ≈ 10–30e⁻
FPN ≈ 10–20%
1 | import numpy as np |

交互代码
1 | import numpy as np |